ELEMINOL HB-29
Outline
Emulsion / Latex Emulsion Stabilizer

Features
· Provides dispersion stability to the emulsion.
· It is rarely used alone as an emulsifier, and is usually used in combination with other surfactants.
Functions
- ・Emulsifying
Applications
- ・Synthetic Resins & Rubbers
Composition
Nonionic Surfactants Ether-based
Properties, and other information
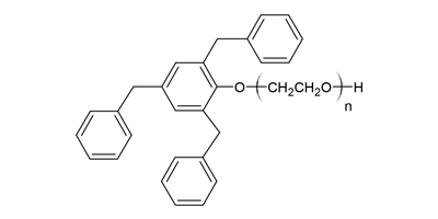
| Principal Component | Polyoxyethylene tribenzyl phenyl ether | Appearance | Yellow liquid | Ionic | Nonionic |
Before handling this product, refer to the current Safety Data Sheet for recommended protective equipment, and detailed precautionary and hazards information.If SDS is not listed on the homepage, please contact our sales representative.