CHEMITYLEN PEB-13ST
Outline
Binder for Glass Chopped Strand Mats

Features
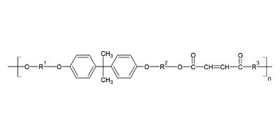
· A binder for chopped strand mats made of fiberglass, which consists of bisphenol type unsaturated polyester resin.
· It has good compatibility with resins to be molded because their molecular structures are similar.
· Glass chopped strand mats containing CHEMITYLEN PEB-13ST are used in a wide range of applications such as ships, bathtubs, water tanks, automobile parts, electric components and sporting goods.
· It can be evenly fed through a binder feeder because it has high powder fluidity.
· It is easily dispersed in water. Therefore, uniform distribution of this product is easily achieved during chopped strand mat production.
· It imparts high flexibility and tenacity to molding resin.
· The resulting molded material has high transparency because this product has a strong compatibility with the molding resin.
Functions
- ・Adhesive
Applications
- ・Textiles
Composition
Esters Unsaturated Polyester
Properties, and other information
| Principal Component | Bisphenol-A type unsaturated polyester | Appearance | Pale yellow-white powder | Softening Point(℃) | 115 |
| Acid Value | 10 |
Before handling this product, refer to the current Safety Data Sheet for recommended protective equipment, and detailed precautionary and hazards information.If SDS is not listed on the homepage, please contact our sales representative.