SANMORIN OT-70
Outline
Anionic Surfactant with Excellent Wetting and Permeability

Features
· Anionic surfactant with excellent wetting and permeability. Among the surfactants, it has particularly excellent penetrating power and surface tension lowering ability. It also has excellent emulsifying and dispersing power.
· Emulsifiers for emulsion polymerization and pigment dispersants.
· Used alone or in combination with any surfactants (except cationic) as a wetting agent, penetrating agent, laundry detergent, industrial detergent, emulsifier, etc.
· It exhibits excellent wetting and penetrating properties for hydrophobic pigments.
Functions
- ・Wetting/Penetrating
- ・Emulsifying
- ・Dispersing
- ・Reacting/Forming
Applications
- ・Detergents/Softeners
- ・Agrichemicals/Horticulture Supplies
- ・Textiles
- ・Paints
- ・Synthetic Resins & Rubbers
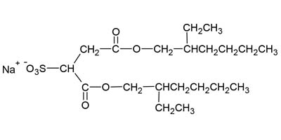
Composition
Anionic Surfactants Sulfosuccinate-based
Properties, and other information
| Principal Component | Sodium dioctyl sulfosuccinate | Appearance | Colorless to pale yellow liquid | pH(Sample Concentration) | 6.0(1% aqueous solution) |
| Ionic | Anionic | Evaporated residue(wt%) | 70 | Applicable base material | vinyl acetate and acryl |
Precaution Against Mishandling
· Since it is anionic, when used in combination with a cationic materials, it may form aggregates and not exhibit the desired performance. Avoid concomitant use with cationic materials.
· It may hydrolyze and lose its effect when used under strong alkaline or strong acid conditions. Do not use under such condition.
Before handling this product, refer to the current Safety Data Sheet for recommended protective equipment, and detailed precautionary and hazards information.If SDS is not listed on the homepage, please contact our sales representative.