ケミチレン PEB-13ST
概要
ガラスチョップドストランドマット用バインダー

特長
・船舶や浴槽、タンク、自動車部品、スポーツ用具、電機部品などに使用されるFRPのガラスチョップドストランドマット用不飽和ポリエステル樹脂系バインダー。
・成形用樹脂と類似の分子構造を有しているのでなじみがよく、しなやかで成形しやすいガラスチョップドストランドマットが得られる。
機能(はたらき)
- ・接着・粘着機能
用途
- ・繊維
組成
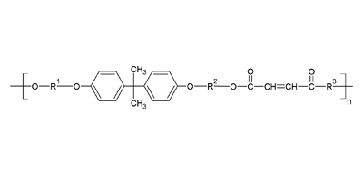
エステル系 不飽和ポリエステル
物性等
| 主成分 | ビスフェノールA系不飽和ポリエステル樹脂 | 外観 | 淡黄白色粉末状 | 荷姿 | ドラム入 120kg コンテナ入 550kg |
| 軟化点(℃) | 115 | 酸価 | 10 |
本品を取り扱うにあたっては、本品および副資材(化学品)の「安全データシート」(SDS)を事前に必ずお読みください。
ホームページ上に掲載していないSDSについては、お手数ですが弊社担当営業までご連絡ください。